Skip to content
Research theme
Mach 4 turbulent boundary layer over a flexible panel
Shock wave transitional boundary layer interaction over a flexible panel
Control of turbulent SBLI using a morphing surface
Shock wave turbulent boundary layer interaction
Two-point turbulent wall pressure – velocity correlations in a converging-diverging channel flow
Converging-diverging channel flow configuration to study the effect of mean pressure gradient on two-point correlations
Digital filtering technique of inflow turbulence generation for LES of supersonic turbulent boundary layers
Lagrangian modal analysis (LMA): Comparison of finite-time Lyapunov exponent with Lagrangian POD and DMD modes
Flow through tube bundles using RANS approach of turbulence modeling
Computational mesh for flow through tube bundles using RANS turbulence models
Computational mesh for LES of the flow through square normal tube array
The onset of fluidelastic instability by means of large eddy simulations (LES)
Development of a theoretical model of fluidelastic instability in tube arrays
Development of a theoretical model of fluidelastic instability in tube arrays
Model predictions of the critical reduced velocity along side the experimental data for fluidelastic instability
Homogenization modeling approach for large scale heterogeneous systems
Flow fields inside a sodium fast breeder reactor assembly
Proper orthogonal decomposition (POD) mode of the mesh deformation associated with cylinder vibration
Transitional SBLI over a flexible panel. Geometry schematic (left) and flow fields (right)
Galerkin-free reduced-order model prediction of a smooth transition between states for different values of model control parameter
Interpolation of reduced POD basis for Galerkin-free reduced-order model
Transitional SBLI over rigid surface, exhibiting Gortler-like vortical structures
Transitional SBLI over a flexible panel
Transitional SBLI control using surface morphing. Surface temperature in uncontrolled and controlled cases. (Top view, flow from left to right)
Transitional SBLI at Mach 2, exhibiting Gortler-like flow structures
Isotropic decaying turbulence simulated using PODA model of LES subfilter-scale turbulence
Decaying isotropic turbulence: comparison of the PODA with other models and experimental data.
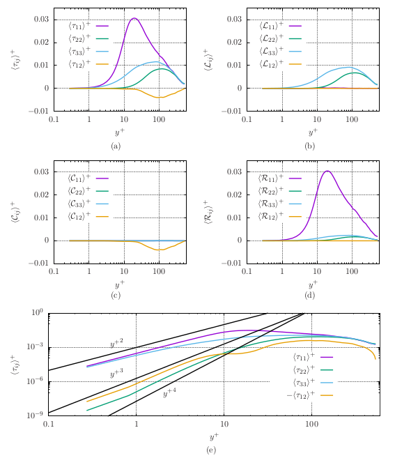
Subfilter-scale stress tensors in turbulent channel flow using PODA model.
Instantaneous energy exchange between the resolved and subfilter-scales of turbulence.
PODA model for subfilter-scale stress tensor in LES
Turbulent SBLI over a flexible panel
Turbulent SBLI at Mach 2.7
Control of turbulent SBLI using surface morphing
Lagrangian modal analysis (LMA): Lagrangian POD and DMD modes of the steady (Eulerian) lid-driven cavity flow at Mach 0.5 and Re=7000.
Stretching of a fluid element for finite-time Lyapunov exponents (FTLE) and Lagrangian Modal Analysis (LMA)
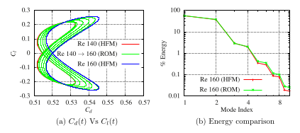
Galerkin-POD ROM of compressible flows with applications in perturbation analysis and sparse state estimation for flow control
Latest Projects:
- Galerkin-POD Reduced-Order Modeling of Compressible Flows
Perturbation techniques can provide valuable insights into flow control by identifying sensitive regions. However, performing such analyses with high-fidelity techniques,
Continue reading “Galerkin-POD Reduced-Order Modeling of Compressible Flows”
- Lagrangian Modal Analysis (LMA)
Modal decomposition finds common use in flowfield analysis, data-driven modeling and flow control. Among the more popular techniques are proper
Continue reading “Lagrangian Modal Analysis (LMA)”
- Supersonic flow separation control using surface morphing
Control of Transitional SBLI The potential of surface morphing techniques, including passive shock control bumps (SCB) and active surface morphing,
Continue reading “Supersonic flow separation control using surface morphing”
- Turbulence modeling for large eddy simulation
In large eddy simulation (LES), the large scales of turbulent motion are resolved directly, whereas the small scales that are
Continue reading “Turbulence modeling for large eddy simulation”
Get new content delivered directly to your inbox.