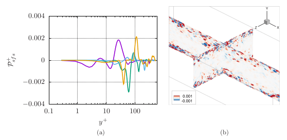
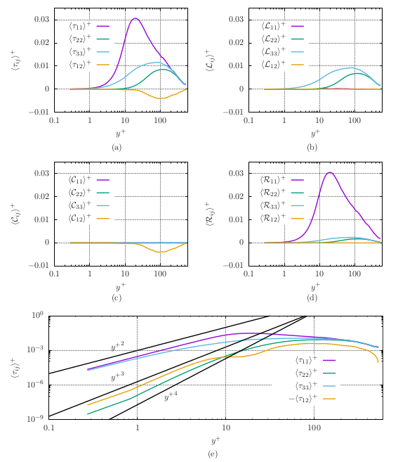
In large eddy simulation (LES), the large scales of turbulent motion are resolved directly, whereas the small scales that are computationally expensive to solve are modeled. The scale separation is performed either in the physical domain (space or time) or in Fourier space, which involves application of an explicit or implicit scale filtering operation, parting the resolved and subfilter-scales (well known as subgrid scales). Proper orthogonal decomposition (POD) of a turbulent flow also leads to the scale separation, where the POD modes represent characteristic scales of motion. In the present work, the similarity between the physical and Fourier scales and the POD modes, in terms of their kinetic-energy content and the interchange of energy among the scales and modes, is used to model the effect of subfilter-scales of motion for the LES. The subfilter-scales stress tensors, namely, Leonard, cross, and Reynolds are expressed directly in terms of the POD modes, while the cross and Reynolds subfilter-scale stresses are modeled, incorporating the energy contribution of the subfilter-scale POD modes. In addition to the mathematical properties of the subfilter-scale stress tensor, the model inherently predicts the near-wall asymptotic behavior (see Fig.2) and the backward transfer of subfilter-scale energy, the backscatter (see Fig.1).
The proper orthogonal decomposition assisted (PODA) modeling of the subfilter-scale stress tensor leads to:

Turbulent Channel Flow


Decaying Isotropic Turbulence

stations
