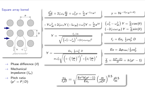
The high-fidelity LES of the fluidelastic instability yielded vital insights into the physics of interaction between the velocity flow and a cylinder in a tube bundle. In particular, the LES flow fields exhibited the modified flow regions due to cylinder oscillations, which were in and out of synchronization with surrounding flow for increasing flow velocity, resulting in sinusoidal variations in the cylinder frequency and damping ratio. A mathematical model incorporating the dynamics of fluidelastic interaction is developed considering a single cylinder and its adjacent fluid flow. The flow perturbations due to the cylinder motion are modeled as waveforms on top of the interstitial fluid flow. The flow streams carrying these perturbations interact elastically with the cylinder, especially for the low mass ratio. The mathematical development and a procedure to estimate the critical pitch velocity is displayed in Fig.1. The model predictions are compared with a large set of experimental data in Fig.2 for the four array patterns. For more details on the model development refer to Shinde et al. 2018.


